Divizibilitatea Numerelor Naturale Clasa 6 Exercitii Rezolvate





Divizibilitate Probleme Rezolvate 6a46 Youtube

Divizibilitate Probleme Rezolvate 6a46 Youtube

Divizor Multiplu Teorie Exercitii Rezolvate Matematica Jitaruionelblog Pregatire Bac Si Evaluarea Nationala 2021 La Matematica Si Alte Materii Materiale Lectii Formule Exercitii Rezolvate Matematica Gimnaziu Si Liceu Teste De Antrenament

Divizor Multiplu Teorie Exercitii Rezolvate Matematica Jitaruionelblog Pregatire Bac Si Evaluarea Nationala 2021 La Matematica Si Alte Materii Materiale Lectii Formule Exercitii Rezolvate Matematica Gimnaziu Si Liceu Teste De Antrenament

Clasa A Vi A Cap Divizibilitatea Numerelor Naturale Criterii De Divizibilitate Ex 3 Youtube

Clasa A Vi A Cap Divizibilitatea Numerelor Naturale Criterii De Divizibilitate Ex 3 Youtube

Clasa A Vi A Cap Divizibilitatea Numerelor Naturale Cmmdc Ex 1 Cel Mai Mare Divizor Comun Youtube

Clasa A Vi A Cap Divizibilitatea Numerelor Naturale Cmmdc Ex 1 Cel Mai Mare Divizor Comun Youtube

Recapitulare Divizibilitatea Numerelor Naturale Clasa A 6 A Jitaruionelblog Pregatire Bac Si Evaluarea Nationala 2021 La Matematica Si Alte Materii Materiale Lectii Formule Exercitii Rezolvate Matematica Gimnaziu Si Liceu Teste De

Recapitulare Divizibilitatea Numerelor Naturale Clasa A 6 A Jitaruionelblog Pregatire Bac Si Evaluarea Nationala 2021 La Matematica Si Alte Materii Materiale Lectii Formule Exercitii Rezolvate Matematica Gimnaziu Si Liceu Teste De

Divizor Multiplu Teorie Exercitii Rezolvate Matematica Jitaruionelblog Pregatire Bac Si Evaluarea Nationala 2021 La Matematica Si Alte Materii Materiale Lectii Formule Exercitii Rezolvate Matematica Gimnaziu Si Liceu Teste De Antrenament

Divizor Multiplu Teorie Exercitii Rezolvate Matematica Jitaruionelblog Pregatire Bac Si Evaluarea Nationala 2021 La Matematica Si Alte Materii Materiale Lectii Formule Exercitii Rezolvate Matematica Gimnaziu Si Liceu Teste De Antrenament

Divizor Multiplu Teorie Exercitii Rezolvate Matematica Jitaruionelblog Pregatire Bac Si Evaluarea Nationala 2021 La Matematica Si Alte Materii Materiale Lectii Formule Exercitii Rezolvate Matematica Gimnaziu Si Liceu Teste De Antrenament

Blog borodi sorin.

Divizibilitatea numerelor naturale clasa 6 exercitii rezolvate. Sa se afle numerele naturale a si b stiind ca sunt indeplinite relatiile. Cand un numar este divizibil cu 9 criterii de divizibilitate cum aplicam criteriile de divizibilitate exercitii rezolvate cu criteriile de divizibilitate numere prime si numere compuse. C m m d c lectie video fisa lectiei fisa1 fisa3 geometrie. Menționăm faptul că fiecare operație cu numere întregi are exerciții rezolvate complet și pas cu pas astfel încât tu să înțelegi cum au folosit profesorii noștri noțiunile teoretice prezentate în pagina anterioară intitulată operații cu numere întregi despre înmulțirea și împărțirea numerelor întregi dar și despre adunarea și scăderea numerelor întregi.

Exercitii rezolvate divizibilitatea numerelor naturale divizor multiplu teorie exercitii rezolvate matematica exercitii rezolvate matematica exercitii rezolvate matematica clasa 6 exercitii rezolvate matematica gimnaziu jitaru blog jitaru ionel jitaru ionel blog jitaruionel numere prime. Publicat de mategim august 30 2014 publicat în algebra aritmetica si algebra clasa a 5 a clasa a 6 a multimea numerelor naturale divizibilitatea etichete. Prezentam doua exercitii rezolvate cu divizibilitatea numerelor naturale. Notăm b a şi citim b divide a sau b este divizor al lui a.

Inca din clasa a v a am introdus notiunea de divizibilitate iar acum o sa vorbim o sa ne reamintim divizibilitatea numerelor naturale adica notiunea de divizori si multipli. Numere prime intre ele. Divizibilitatea numerelor algebra probleme rezolvate. Se mai spune ca a este un multiplu al lui b.

Exercitii rezolvate cu divizibilitate. Clic aici pentru a downloada documentul pdf 206kb. Fie a si b doua numere naturale. Divizibilitate divizor multiplu multimea divizorilor unui numar intreg multimea multiplilor exercitii rezolvate un număr natural b spunem că este divizor al unui număr natural dacă există un număr natural c astfel încât a b c.

Blog jitaru ionel. Publicat de mategim august 30 2014 publicat în algebra aritmetica si algebra clasa a 5 a clasa a 6 a multimea numerelor naturale divizibilitatea etichete. Exercitii si probleme de matematica. Cand un numar este divizibil cu 9 criterii de divizibilitate cum aplicam criteriile de divizibilitate exercitii rezolvate cu criteriile de divizibilitate.

Descompunerea nr naturale in factori primi lectie video fisa1 rezolvare video f1 fisa2 divizori comuni. Algebra clasa a vi a gimnaziu.

Clasa A Vi A Cap Divizibilitatea Numerelor Naturale Divizor Multiplu Ex 1 Youtube

Clasa A Vi A Cap Divizibilitatea Numerelor Naturale Divizor Multiplu Ex 1 Youtube

Lectii De Matematica Gimnaziu Divizibilitate Teorie Si Exercitii Rezolvate Recapitulare Jitaruionelblog Pregatire Bac Si Evaluarea Nationala 2021 La Matematica Si Alte Materii Materiale Lectii Formule Exercitii Rezolvate Matematica

Lectii De Matematica Gimnaziu Divizibilitate Teorie Si Exercitii Rezolvate Recapitulare Jitaruionelblog Pregatire Bac Si Evaluarea Nationala 2021 La Matematica Si Alte Materii Materiale Lectii Formule Exercitii Rezolvate Matematica

Divizibilitatea Rezolvate

Divizibilitatea Rezolvate

Proprietati Ale Relatiei De Divizibilitate 6a21 Youtube

Proprietati Ale Relatiei De Divizibilitate 6a21 Youtube

Criterii De Divizibilitate Cu 2 3 4 5 9 10 Si 25 Divizibilitatea In N Jitaruionelblog Pregatire Bac Si Evaluarea Nationala 2021 La Matematica Si Alte Materii Materiale Lectii Formule

Criterii De Divizibilitate Cu 2 3 4 5 9 10 Si 25 Divizibilitatea In N Jitaruionelblog Pregatire Bac Si Evaluarea Nationala 2021 La Matematica Si Alte Materii Materiale Lectii Formule

Divizibilitate Clasa A V A Scoalademate Ro Youtube

Divizibilitate Clasa A V A Scoalademate Ro Youtube

Clasa A Vi A Cap Divizibilitatea Nr Nat Proprietati Ale Relatiei De Divizibilitate Teorie Youtube

Clasa A Vi A Cap Divizibilitatea Nr Nat Proprietati Ale Relatiei De Divizibilitate Teorie Youtube

Lucrare Divizibilitate Clasa A6a

Lucrare Divizibilitate Clasa A6a

Criterii De Divizibilitate Matematica Mai Usoara

Criterii De Divizibilitate Matematica Mai Usoara

Model Teză Matematică Clasa A 6 A Pe Semestrul 1 Barem Rezolvare Jitaruionelblog Pregatire Bac Si Evaluarea Nationala 2021 La Matematica Si Alte Materii Materiale Lectii Formule Exercitii Rezolvate Matematica

Model Teză Matematică Clasa A 6 A Pe Semestrul 1 Barem Rezolvare Jitaruionelblog Pregatire Bac Si Evaluarea Nationala 2021 La Matematica Si Alte Materii Materiale Lectii Formule Exercitii Rezolvate Matematica

Ecuatii In Multimea Numerelor Naturale

Ecuatii In Multimea Numerelor Naturale

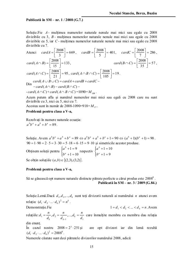
Neculai Stanciu Exercitii Rezolvate

Neculai Stanciu Exercitii Rezolvate

Plan Lecţie Cerc Matematică

Plan Lecţie Cerc Matematică

Divizor Multiplu Teorie Exercitii Rezolvate Matematica Jitaruionelblog Pregatire Bac Si Evaluarea Nationala 2021 La Matematica Si Alte Materii Materiale Lectii Formule Exercitii Rezolvate Matematica Gimnaziu Si Liceu Teste De Antrenament

Divizor Multiplu Teorie Exercitii Rezolvate Matematica Jitaruionelblog Pregatire Bac Si Evaluarea Nationala 2021 La Matematica Si Alte Materii Materiale Lectii Formule Exercitii Rezolvate Matematica Gimnaziu Si Liceu Teste De Antrenament

Source : pinterest.com